材料名稱:MIL-53(Fe)
其他名稱:NA
CAS:764608-47-1
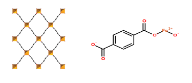
結構信息
單位分子式
C8H4O5Fe
單位分子量
235.96
配位金屬
Fe
配體
對苯二甲酸(CAS:100-21-0)
孔徑
孔容
比表面
N2 BET比表面 無法測出
模擬結構
產品性狀
產品形貌
黃褐色粉末
Orange Powder
粒徑
300-600nm
穩定性
1) MIL-53(Fe)在空氣中穩定,在水溶液及酸性條件下中穩定
2) 高熱穩定性、熱分解溫度大于300℃
保存和活化方法
1) 常溫或低溫條件下,干燥密封保存
2) 建議使用前150度(真空)烘箱活化3小時
其他特性
熒光:NA
應用領域
1) 氣體(如二氧化碳)和污染物吸附
2) 作為路易斯酸催化劑具有良好的催化性能
表征圖譜

參考文獻
1)T. R. Whitfield, X. Q. Wang, L. M. Liu, A. J. Jacobson, Solid State Sci 2005, 7, 1096-1103, DOI: 10.1016/j.solidstatesciences.2005.03.007
留言咨詢
|
|
 |
| 生物納米材料前沿 |
 |
| 納米醫學Frontier |
|
溫馨提示:蘇州北科納米供應產品僅用于科研,不能用于人體,不同批次產品規格性能有差異。網站部分文獻案例圖片源自互聯網,圖片僅供參考,請以實物為主,如有侵權請聯系我們立即刪除。
提示說明:納米材料工藝和制備可能會有改變 所有納米材料均支持按需定制 下單前聯系客服確認產品詳細信息。 |