材料名稱:MOF-253(Al)
其他名稱:MIL-53(Al)-DCBPy; Al(OH)(dcbpy)
CAS:1251862-76-6
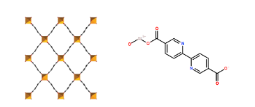
結構信息
單位分子式
C12H6N2O5Al
單位分子量
285.16794
配位金屬
Al
配體
聯吡啶二甲酸(CAS:1802-30-8)
孔徑
垂直孔道:1.0nm*1.5nm
孔容
0.9 cm3/g
比表面
BET比表面 1100 m2/g
模擬結構
產品性狀
產品形貌
白色粉末
White Powder
粒徑
不規則片塊或棒狀顆粒
穩定性
1) MIL-253(Al)在干燥空氣中可以穩定保存數周。在潮濕空氣中不穩定,在水溶液中不穩定。
2) 高熱穩定性、熱分解溫度大于300℃
保存和活化方法
1) 常溫或低溫條件下,干燥密封保存
2) 建議使用前150度(真空)烘箱活化3小時
其他特性
熒光:NA
應用領域
1) 氣體和污染物吸附
2) MOF-253的聯吡啶單體結構,可與Pt、Pd、Cu等金屬配位,合成相應的催化劑應用于光催化和各類路易斯酸催化
表征圖譜

參考文獻
1) Bloch, E. D.; Britt, D.; Lee, C.; Doonan, C. J.; Uribe-Romo, F. J.; Furukawa, H.; Long, J. R.; Yaghi, O. M. J.
Am. Chem. Soc. 2010, 132, 14382−14384, DOI: 10.1021/ja106935d
2) Deng, X.; Qin, Y.; Hao, M.; Li, Z.; Inorg. Chem. 2019, 58, 24, 16574–16580, DOI: acs.inorgchem.9b02593
留言咨詢
|
|
 |
| 生物納米材料前沿 |
 |
| 納米醫學Frontier |
|
溫馨提示:蘇州北科納米供應產品僅用于科研,不能用于人體,不同批次產品規格性能有差異。網站部分文獻案例圖片源自互聯網,圖片僅供參考,請以實物為主,如有侵權請聯系我們立即刪除。
提示說明:納米材料工藝和制備可能會有改變 所有納米材料均支持按需定制 下單前聯系客服確認產品詳細信息。 |